Consulta si eres uno de los agradaciados con un huerto de ocio
Fecha:
Compartir:
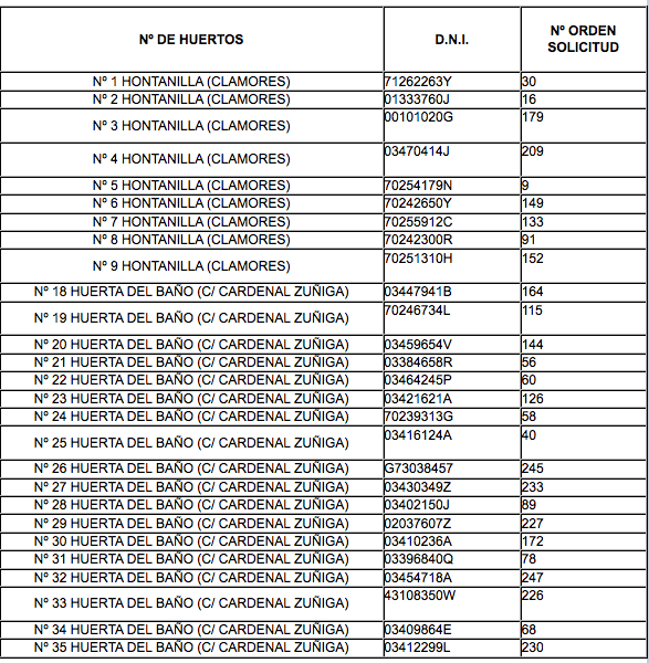
El salón de Plenos del Ayuntamiento de Segovia ha acogido esta mañana el sorteo de los huertos de ocio que el Ayuntamiento de Segovia adjudica cada cuatro años desde 1999. El alcalde de Segovia, Pedro Arahuetes, informó de que el consistorio recibió un total de 252 solicitudes, de las que un total de 27 podrán disfrutar de estas parcelas, en el Valle del Clamores (Huerta de la Hontanilla) 9 de ellas y en el Valle del Eresma (Huerta del Baño) otras 18.
Su adjudicación será por cuatro años, es decir, del 1 de enero de 2013 al 31 de diciembre de 2016.
Desde que en 1999 se pusiera en marcha el programa de Huertos de Ocio para la recuperación y mantenimiento de las tierras de labor hortícola, la experiencia ha sido muy positiva tanto para los hortelanos como para la ciudad en su conjunto al poder conservar las zonas de cultivo tradicional y permitir su contemplación sin salir de la capital.


